Tap to get financing
HUD 221(d)(4) Loans
Information
Loan Facts Terms, Qualifications & GuidelinesInterest RateTerm SheetHUD Multifamily LoansStatutory LimitProcessRefinanceHUD Multifamily Construction Loans
Application
Application ProcessChecklist
Resources
HUD 221(d)(4) FAQsGlossaryMultifamily Insurance
Developers
General Contractor RequirementsDeveloper Requirements & Fees3rd Party Reports & GuidelinesAppraisal ProcessMarket StudyArchitectural and Engineering ReportsDavis Bacon WagesEnvironmental Assessments
Forms
Typical Loan TimetableDetailed Operating Statement & Underwriting AnalysisEstimate of Replacement & Construction Costs
For Brokers
About
About HUD 221(d)(4) LoanContact usLeadership
(561) 556-4747
Get financing →
Newly Published
Dec 20 at HUD 221(d)(4) Loans
What Is DSCR (Debt Service Coverage Ratio)?
Jun 14 at HUD 221(d)(4) Loans
What is Underwriting?
Jun 14 at HUD 221(d)(4) Loans
What are the Benefits of Non-Recourse Loans?
Explore the Janover Network
Aug 18 at Commercial Real Estate Loans
How CRE Debt Brokers Can Guide Clients Through the 2026 Maturity Wall
Jun 18 at Multifamily Loans
How to Build Financing Operations That Scale With Your Portfolio
Jun 17 at Multifamily Loans
Timeline Certainty vs. Rate Shopping: Why Execution Risk Kills Deals
Was This Article Helpful?
HUD & FHA Glossary
1 min read

What is Amortization?

Amortization is the process of paying off debt over a period of time on a fixed schedule in regular installments. For amortized loans, a large portion of the early monthly payments go toward interest. HUD multifamily loans, including the HUD 221(d)(4) loan and the HUD 223(f) loan, are fully amortizing.

Start Your Application and Unlock the Power of Choice Experience expert guidance, competitive options, and unparalleled industry expertise.
Click Here to Get Quotes →
$5.6M offered by a Bank$1.2M offered by a Bank$2M offered by an Agency$1.4M offered by a Credit UnionClick Here to Get Quotes!

Amortization and the HUD 221(d)(4) Loan Program

Amortization is the process of paying off debt over a period of time on a fixed schedule in regular installments. For amortized loans, a large portion of the early monthly payments go toward interest. HUD multifamily loans, including the HUD 221(d)(4) loan and the HUD 223(f) loan, are fully amortizing. This means that borrowers will not need to worry about refinancing or paying large balloon payments, since the entire balance of the loan will be repaid by the end of the loan’s term.

To learn more about HUD multifamily construction loans like the HUD 221(d)(4) loan, fill out the form below and a HUD lending expert will get in touch. 

Related Questions

What is the definition of amortization?

Amortization refers to the accounting technique which, in use, periodically lowers the book value of a loan or intangible asset over a period of time towards a set maturity date. When specifically used in the accounting of loan transactions, amortization focuses on how loan payments are spread out over time. In regards to an intangible asset, amortization is not too different from depreciation.

Simply put, amortization refers to debts that are set to be paid off using a fixed repayment schedule. The loan amount is paid in regular installments over a set time period. Amortized loan payments usually consist of a principal amount combined with the interest specified by the loan terms. Payments begin with high interest paid for the first payment, then the interest gradually reduces over time, allowing more contribution toward the principal amount. SBA Express loans are an example of amortized loans.

How does amortization work?

Amortization is a process of spreading out loan payments over a period of time. With an amortized loan, payments are spread out in equal sums to be paid over the length of the loan term. Each monthly payment is composed of two parts:

  • Principal: The portion of the payment that goes toward the original amount borrowed
  • Interest: The portion of the payment that goes toward the cost of borrowing the money

The amount of principal and interest in each payment will be different as the loan matures because the amount of interest to be paid decreases as the principal gets paid down.

To better illustrate how amortization works, here’s a simple example: A borrower takes out a $100,000 loan with a 4% interest rate. The fixed monthly payment is $1,000. The first payment is broken down to $400 towards interest and $600 towards the principal. The second payment then becomes $398 towards the interest and $602 towards the principal. This process continues — with the amount of interest paid each month decreasing and the amount paid towards the principal increasing — until the loan is paid off, all while keeping the same monthly installment of $1,000.

To calculate the interest and principal in a multifamily mortgage payment, you can use our mortgage calculator with the attached amortization schedule.

What are the benefits of amortization?

Amortization has a number of advantages, both for borrowers and lenders alike.

For borrowers, amortization makes it much easier to budget for loan payments. With a fixed payment each month, borrowers know exactly how much they need to set aside to make a payment. This can make managing finances a breeze and keep borrowers current on their loans.

Amortization can also save borrowers money in the long run. With each payment, both the principal and the interest are paid down. This means that the interest portion of your payment will decrease over time, leaving more of your payment to go toward the principal. This actually can save a borrower a significant amount of money over the life of the loan.

For lenders, amortization provides a steady stream of income. With each payment, the borrower will be paying down both the principal and the interest. Amortization allows the lender to receive interest payments throughout the life of the loan.

Amortization can also help lenders manage their risk. With a fixed payment due each month, lenders can be more confident that they will receive their payments on time. This predictability can help lenders plan for their own expenses and manage their own finances.

What are the drawbacks of amortization?

The biggest disadvantage of amortization for borrowers is that it can make it difficult to pay off a loan early. Amortized loans are carefully calculated to balance the amounts paid towards the loan’s interest and principal over a long term — meaning most amortized loans carry long loan terms. Additionally, in order to make extra payments on the principal of the loan in order to pay it off sooner, a borrower would need to calculate the amount of the payment that will go toward the principal. Without prior knowledge of how each payment is broken down, this can be a complex process.

For lenders, the amortization can result in a loss of income if the borrower prepays the loan. If the borrower makes a large payment on the principal of the loan, the lender will miss out on the interest that would have been earned on that payment.

Amortization can also make it difficult to sell a loan. If a lender needs to sell a loan before it is fully amortized, they may have to sell it at a discount. This is because the buyer will be assuming the remaining interest payments on the loan.

What types of loans use amortization?

Amortization is commonly used in most loan scenarios where the borrower makes periodic installments, such as with a mortgage or a car loan. With an amortizing loan, the borrower repays the loan's principal balance — the original amount they borrowed — plus the interest owed on the loan over time up to the maturity date, leaving no balloon payment. Amortization is different from simple interest or interest-only loan structures.

Types of loans that use amortization include mortgages, car loans, and HUD’s 221(d)(4) construction loan.

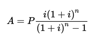
How can I calculate amortization?

You can calculate amortization using the amortization formula. The formula is as follows:

Amortization Formula

Where:

  • A = periodic payment amount
  • P = amount of principal, net of initial payments
  • i = periodic interest rate
  • n = total number of payments

For more information, please visit this page.

In this article:
  1. Amortization and the HUD 221(d)(4) Loan Program
  2. Related Questions
  3. Get Financing
Categories
  • HUD 221(d)(4) Loan
  • HUD 221(d)(4) Loans
Tags
  • HUD 221(d)(4) Loan
  • HUD 221(d)(4) Loans
  • HUD 221d4
  • HUD Multifamily Construction Loans
  • Amortization
  • HUD 221(d)(4) Amortization
  • HUD Multifamily Loan Amortization

Getting commercial property financing should be easy.⁠ Now it is.

Click below for a free, no obligation quote and to learn more about your loan options.

Get financing →

Janover: Your Partner in Growth

At Janover, we offer a wide range of services tailored to your unique needs. From commercial property loans and LP management to business loans and services for lenders, we're here to help you succeed.

Learn more about Janover →
Commercial Property Loans

Get the best CRE financing on the market.

Explore Financing Options →
LP Management

Syndicate deals on autopilot with Janover Connect.

Discover LP Management →
Business Loans

Match with the right kind of loan, in record time.

Find Business Loans →
For Lenders

Supercharge your loan pipeline. Unlock more deals.

Boost Your Loan Pipeline →
HUD 221(d)(4) Loans

HUD 221(d)(4) Loans is a part of Janover Tech Inc.. Please visit some of our family of sites at: Multifamily Loans, Commercial Real Estate Loans, SBA 7(a) Loans, HUD Loans, and Janover Pro.

Janover Tech Inc.

335 E. Linton Blvd.
Suite B14 #2074
Delray Beach, FL 33483
(561) 556-4747 
hello@hud221d4.loan

Site Information

Privacy Policy
Terms of Use


For Commercial Mortgage Brokers

This website is owned by a company that offers business advice, information and other services related to multifamily, commercial real estate, and business financing. We have no affiliation with any government agency and are not a lender. We are a technology company that uses software and experience to bring lenders and borrowers together. By using this website, you agree to our use of cookies, our Terms of Use and our Privacy Policy. We use cookies to provide you with a great experience and to help our website run effectively.

Freddie Mac® and Optigo® are registered trademarks of Freddie Mac. Fannie Mae® is a registered trademark of Fannie Mae. We are not affiliated with the Department of Housing and Urban Development (HUD), Federal Housing Administration (FHA), Freddie Mac or Fannie Mae.

This website utilizes artificial intelligence technologies to auto-generate responses, which have limitations in accuracy and appropriateness. Users should not rely upon AI-generated content for definitive advice and instead should confirm facts or consult professionals regarding any personal, legal, financial or other matters. The website owner is not responsible for damages allegedly arising from use of this website's AI.

Copyright © 2026 Janover Tech Inc. All rights reserved.

+

Fill out the form below and get the pricing and terms banks can't compete with.